Set
Set
Set 이란?
중복을 허용하지 않고 순서를 보장하지 않는 자료구조입니다.
Set 상속 구조
HashSet
- 해시 자료 구조를 사용해서 요소를 저장
- 순서 보장 X
- 중복 허용 X
- 평균 O(1) 시간 복잡도를 가짐
데이터의 유일성만 중요하고, 순서가 중요하지 않은 경우 사용합니다.
LinkedHashSet
HashSet에 연결 리스트를 추가한 자료구조- 삽입 순서 보장 O
- 중복 허용 X
- 평균 O(1)의 시간 복잡도를 가짐
- 연결 링크를 유지하기 때문에
HashSet보다는 조금 더 무거움
데이터의 유일성과 삽입 순서를 유지해야 할 때 사용합니다.
위 그림은 단일 연결 리스트이지만 자바에서 제공하는
LinkedHashSet은 이중 연결 리스트로 되어 있습니다.
TreeSet
- 이진 탐색 트리를 개선한 레드-블랙 트리를 내부에서 사용
- 정렬 순서 보장 O
- 객체의 경우
Comparator로 정렬 순서 변경 가능
- 객체의 경우
- 중복 허용 X
- O(log n)의 시간 복잡도를 가짐
데이터의 유일성과 정렬 순서를 보장해야 할 때 사용합니다.
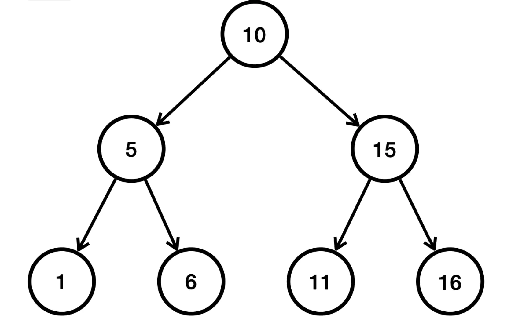
트리 구조
- 부모 노드와 자식 노드로 구성
이진 트리
- 자식이 2개까지 올 수 있는 트리
- 노드의 왼쪽 자손은 더 작은 값을 가지고, 오른쪽 자손은 더 큰 값을 가짐
이진 탐색 트리 순회
중위 순회 방법을 사용
- 왼쪽 서브 트리 처리
- 현재 노드 처리
- 오른쪽 서브 트리 처리
위 방식을 통해 오름차순으로 순회가 가능합니다. 당연히 내림차순도 가능합니다.
HashSet, LinkedHashSet, TreeSet 한눈에 비교
1
2
3
4
5
6
7
8
9
10
11
12
13
14
15
16
17
18
19
20
21
22
23
public class JavaSetMain {
public static void main(String[] args) {
run(new HashSet<>()); // 중복 X, 순서 보장 X
run(new LinkedHashSet<>()); // 중복 X, 입력 순 보장 O
run(new TreeSet<>()); // 중복 X, 데이터 크기 순 정렬 O
}
private static void run(Set<String> set) {
System.out.println("set = " + set.getClass());
set.add("C");
set.add("B");
set.add("A");
set.add("1");
set.add("2");
Iterator<String> iterator = set.iterator();
while (iterator.hasNext()) {
System.out.print(iterator.next() + " ");
}
System.out.println();
}
}
Set 최적화
- 자바의
HashSet은 데이터의 양이 배열 크기의 75%를 넘어가면 배열의 크기를 2배로 늘리고 모든 요소에 해시 인덱스를 다시 적용
참고
이 기사는 저작권자의 CC BY 4.0 라이센스를 따릅니다.




